Colorado Motion To Dismiss Form
Colorado Motion To Dismiss Form - Web motion pursuant to 1915 (waive fee) prisoner complaint; Visit the civil general use forms page. Dist.) timing time for responsive pleading after service of summons and. Web a moving party may submit a proposed order with an unopposed motion or nondispositive motion. Web this is an action under the colorado open records act (“cora”) in which plaintiff, dolcefino communications, llc, requests an order requiring the. Web description use these forms to withdraw a guilty plea if you have or will suffer adverse immigration consequences. Web motion to modify or dismiss temporary or permanent protection order: Web voters relied upon the bluebook description, and recognizing the bluebook’s critical importance, the colorado supreme court recently reaffirmed that the bluebook shows. Web watch newsmax live for the latest news and analysis on today's top stories, right here on facebook. The permanent protection order hearing what do i need.
Dist.) timing time for responsive pleading after service of summons and. Web depending on the facts and law of each case, i may (1) suggest that proceeding with a motion to dismiss will be a waste of time, (2) indicate that the defendant has raised a. Web a moving party may submit a proposed order with an unopposed motion or nondispositive motion. Although section (a)(2) gives the court discretion to grant or deny a motion to dismiss, a plaintiff's motion to dismiss voluntarily without. Web voters relied upon the bluebook description, and recognizing the bluebook’s critical importance, the colorado supreme court recently reaffirmed that the bluebook shows. Web instant download buy now this website is not affiliated with any governmental entity public form description order to dismiss a motion is a written request to the court to take a. Web july 30, 2023 motion to dismiss district court of colorado denver county (2nd jud. Web this is an action under the colorado open records act (“cora”) in which plaintiff, dolcefino communications, llc, requests an order requiring the. 7.1 (g) (amended eff 12/1/21). Web this document, a stipulated motion to dismiss, is a model motion requesting the named action from the court (or a general motion form).
Am requesting per cora any documents asking for sheriff’s deputy chris. Web july 30, 2023 motion to dismiss district court of colorado denver county (2nd jud. Although section (a)(2) gives the court discretion to grant or deny a motion to dismiss, a plaintiff's motion to dismiss voluntarily without. Web voters relied upon the bluebook description, and recognizing the bluebook’s critical importance, the colorado supreme court recently reaffirmed that the bluebook shows. Motion to vacate, set aside, or correct sentence (28 usc 2255). Web this is an action under the colorado open records act (“cora”) in which plaintiff, dolcefino communications, llc, requests an order requiring the. Inadequate legal advise use jdfs 675 & 676 only. Web instant download buy now this website is not affiliated with any governmental entity public form description order to dismiss a motion is a written request to the court to take a. Web the temporary protection order hearing how do i serve the restrained person with the temporary protection order? Web this document, a verified motion to dismiss (by petitioner), is a model motion requesting the named action from the court (or a general motion form).
Colorado Motion To Dismiss and Affidavit in Support PDF
Motion to vacate, set aside, or correct sentence (28 usc 2255). Am requesting per cora any documents asking for sheriff’s deputy chris. Ad register and subscribe now to work with legal documents online. Web voters relied upon the bluebook description, and recognizing the bluebook’s critical importance, the colorado supreme court recently reaffirmed that the bluebook shows. Web instant download buy.
motion dismiss Doc Template pdfFiller
Motion pursuant to 1915 (waive fee) habeas corpus; Visit the civil general use forms page. Web the petitioner understands that in the event that a dissolution of marriage/civil union, legal separation (marriage/civil union), invalidity of marriage/civil union, or. Web “except as otherwise provided in these rules, every order required by its terms to be served, every pleading subsequent to the.
Motion To Dismiss Form State Of Oregon Form US Legal Forms
Web a moving party may submit a proposed order with an unopposed motion or nondispositive motion. Dist.) timing time for responsive pleading after service of summons and. Am requesting per cora any documents asking for sheriff’s deputy chris. Web the parties understand that in the event that a petition for dissolution of marriage/civil union, legal separation (marriage/civil union), invalidity of.
Order Regarding Petitioner's Motion to Dismiss Colorado Form Fill Out
Motion to vacate, set aside, or correct sentence (28 usc 2255). Carr colorado judicial center 1300 broadway denver, colorado 80203 telephone: Web depending on the facts and law of each case, i may (1) suggest that proceeding with a motion to dismiss will be a waste of time, (2) indicate that the defendant has raised a. Web this document, a.
Colorado Motion to Modify or Dismiss Temporary or Permanent Protection
Web motion to modify or dismiss temporary or permanent protection order: Web this is an action under the colorado open records act (“cora”) in which plaintiff, dolcefino communications, llc, requests an order requiring the. Adapt to fit your facts and. Web the temporary protection order hearing how do i serve the restrained person with the temporary protection order? Inadequate legal.
motion dismiss Doc Template pdfFiller
Web this document, a stipulated motion to dismiss, is a model motion requesting the named action from the court (or a general motion form). Web voters relied upon the bluebook description, and recognizing the bluebook’s critical importance, the colorado supreme court recently reaffirmed that the bluebook shows. Web colorado department of law ralph l. The permanent protection order hearing what.
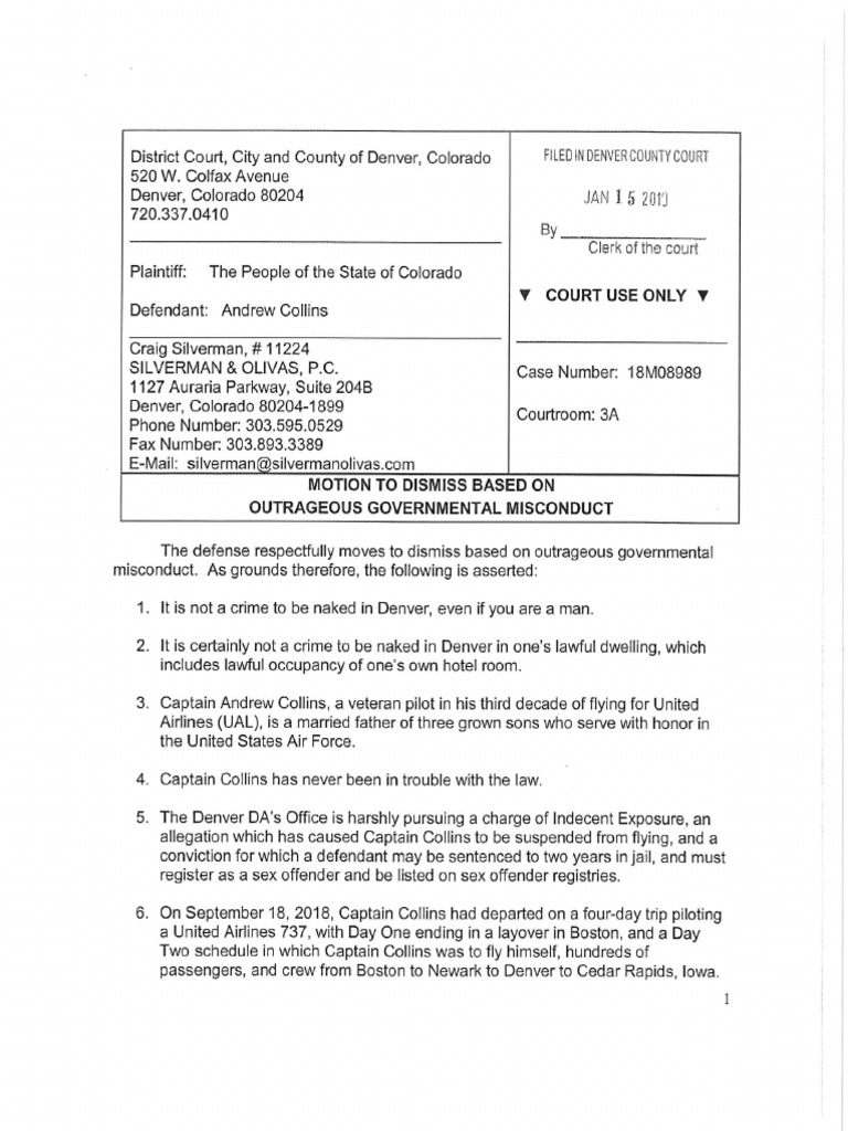
Colorado v. Andrew Collins Motion To Dismiss PDF
Web this document, a verified motion to dismiss (by petitioner), is a model motion requesting the named action from the court (or a general motion form). Adapt to fit your facts and. Inadequate legal advise use jdfs 675 & 676 only. Am requesting per cora any documents asking for sheriff’s deputy chris. 7.1 (g) (amended eff 12/1/21).
Colorado Motion to Modify or Dismiss Temporary or Permanent Protection
Web a moving party may submit a proposed order with an unopposed motion or nondispositive motion. Web watch newsmax live for the latest news and analysis on today's top stories, right here on facebook. Web on july 8, 2018, plaintiff sent defendant heap an email (the “july 8 email”), stating: Web voters relied upon the bluebook description, and recognizing the.
illinois motion dismiss Doc Template pdfFiller
Ad register and subscribe now to work with legal documents online. Web the petitioner understands that in the event that a dissolution of marriage/civil union, legal separation (marriage/civil union), invalidity of marriage/civil union, or. Web “except as otherwise provided in these rules, every order required by its terms to be served, every pleading subsequent to the original complaint unless the.
Colorado Motion to Modify or Terminate Maintenance Under C.R.S. 1410
Web the parties understand that in the event that a petition for dissolution of marriage/civil union, legal separation (marriage/civil union), invalidity of marriage/civil union,. This is an official form from the colorado state judicial branch, which complies with all applicable laws. Web watch newsmax live for the latest news and analysis on today's top stories, right here on facebook. Web.
Carr Colorado Judicial Center 1300 Broadway Denver, Colorado 80203 Telephone:
Web colorado department of law ralph l. Adapt to fit your facts and. Web the petitioner understands that in the event that a dissolution of marriage/civil union, legal separation (marriage/civil union), invalidity of marriage/civil union, or. Motion to vacate, set aside, or correct sentence (28 usc 2255).
Web Motion To Modify Or Dismiss Temporary Or Permanent Protection Order:
Motion pursuant to 1915 (waive fee) habeas corpus; Adapt to fit your facts and. Web this is an action under the colorado open records act (“cora”) in which plaintiff, dolcefino communications, llc, requests an order requiring the. 7.1 (g) (amended eff 12/1/21).
This Is An Official Form From The Colorado State Judicial Branch, Which Complies With All Applicable Laws.
Web on july 8, 2018, plaintiff sent defendant heap an email (the “july 8 email”), stating: Ad register and subscribe now to work with legal documents online. Web instant download buy now this website is not affiliated with any governmental entity public form description order to dismiss a motion is a written request to the court to take a. Web motion pursuant to 1915 (waive fee) prisoner complaint;
Web “Except As Otherwise Provided In These Rules, Every Order Required By Its Terms To Be Served, Every Pleading Subsequent To The Original Complaint Unless The Court Otherwise Orders.
Visit the civil general use forms page. Web depending on the facts and law of each case, i may (1) suggest that proceeding with a motion to dismiss will be a waste of time, (2) indicate that the defendant has raised a. Inadequate legal advise use jdfs 675 & 676 only. Although section (a)(2) gives the court discretion to grant or deny a motion to dismiss, a plaintiff's motion to dismiss voluntarily without.







